188****35802021-09-17 18:41:45
为什么我红色标记出的那一项是这样的呀
回答(1)
Essie2021-09-17 21:57:50
你好,
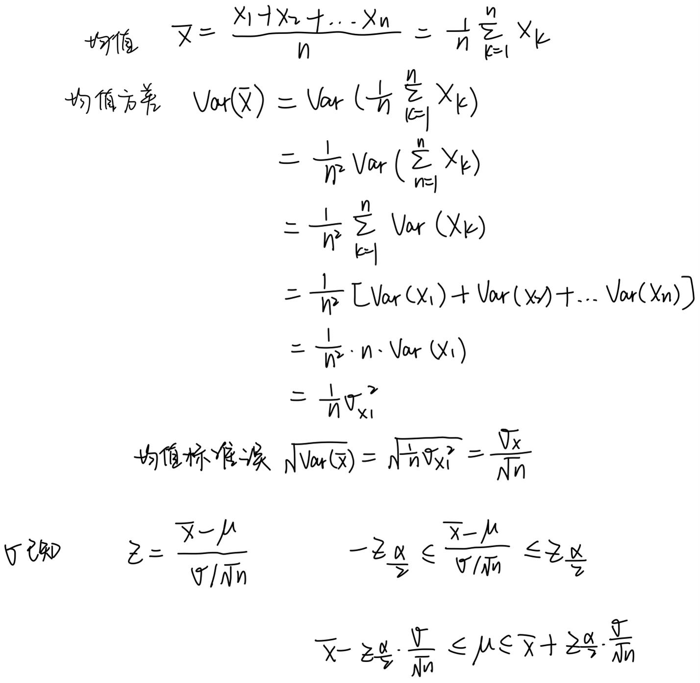
二级的原版书是直接给出了这个公式,你标红的部分是标准误,简单给你写个推导在下面,推导不需要掌握
对于总体方差未知的情况替换成t检验,然后样本方差用字母s表示。加油~
- 评论(0)
- 追问(0)
评论
0/1000
追答
0/1000
+上传图片


