minimax2021-07-17 11:18:27
老师好,可以解释下标准误se和SEE(standard error of estimate)的区别吗
回答(1)
Kevin2021-07-19 09:28:20
同学你好!
标准误是样本均值的标准差。
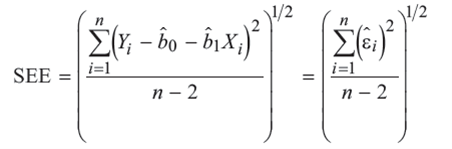
而SEE是残差的标准误。计算公式如图。
致正在努力的你,望能解答你的疑惑~
如此次答疑能更好地帮助你理解该知识点,烦请【点赞】。你的反馈是我们进步的动力,祝你顺利通过考试~
- 评论(0)
- 追问(0)
评论
0/1000
追答
0/1000
+上传图片

