time2021-07-06 10:42:33
这个公式不懂,这个公式怎么理解呢,√T怎么理解的
回答(1)
开开2021-07-06 17:31:14
同学你好,这里求annual VAR,因此表中给的收益率和标准差是daily的,因此要转化为年化的。日度收益率转化为年度的是*250,
annual variance = 250*daily variance. 而标准差是方差开根号,因此annual std = √250*daily std
致正在努力的你,望能解答你的疑惑~
如此次答疑能更好地帮助你理解该知识点,烦请【点赞】。你的反馈是我们进步的动力,祝你顺利通过考试~
- 评论(0)
- 追问(5)
- 追问
-
这个公式怎么推导得
- 追问
-
推导过程,推导过程
- 追答
-
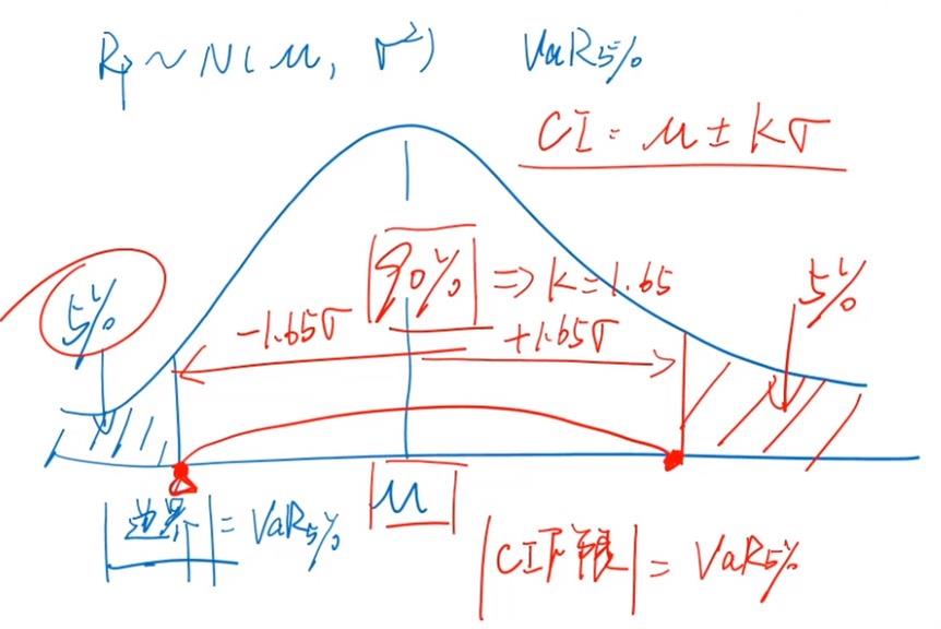
同学你好,这是参数法VAR的计算公式,通过预期收益率和标准差来求解VAR。
以5%的VAR举例,5%的VAR相当于是正态分布下左尾5%处的边界值取绝对值。也即相当于90%(去掉两边5%)置信区间下限的绝对值(见图)。
置信区间下限的计算公式即为 μ - k*σ ,VAR =|μ - k*σ | .这个算出来是损失的百分比,再乘以portfolio的value就可以算出VaR的金额。
k和概率相关,不同置信区间下的k值也列在下方。
这一题因为要求1%的VAR,因此应该选98%置信区间下的k值。
详细的过程建议同学去基础课的参数VaR (analytical var)部分回顾下,老师在这部分有详细的解释。
- 追问
-
你说的这些我懂,但是为什么要用T^1/2这是如何得到的
- 追答
-
同学你好,计算年化std时T要开根号是因为T是乘在方差前面的,算标准差就要整体开根号。
annual variance = 250*daily variance. 而标准差是方差开根号,因此annual std =(annual variance)^(1/2)= (250*daily variance)^(1/2) =(250)^(1/2)*daily std.
评论
0/1000
追答
0/1000
+上传图片



