12021-07-05 16:11:00
请问RMSE和SEE是不是一样的?
回答(1)
Kevin2021-07-05 17:31:01
同学你好!
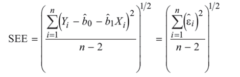
不一样,公示如图。
SEE衡量的样本内,RMSE是样本外。
致正在努力的你,望能解答你的疑惑~
如此次答疑能更好地帮助你理解该知识点,烦请【点赞】。你的反馈是我们进步的动力,祝你顺利通过考试~
- 评论(0)
- 追问(3)
- 追问
-
RMSE是用out-of-sample forecast error是吗
- 追问
-
SEE不也是actual value和estimated value之比吗?
- 追答
-
同学你好!
1.RMSE是用样本外数据。
2.SEE是actual-estimated,但这是样本内的。
评论
0/1000
追答
0/1000
+上传图片


