12021-06-27 17:01:49
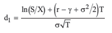
请问这道题d1是不是算错了?这ln里面应该不是225把?应该是207.49?
回答(1)
Kevin2021-06-28 09:40:46
同学你好!
d1算得没错,计算公式中是S:225,不是S抵减收益:207.49。
考试不太会考d1和d2的公式,不用花过多时间。
致正在努力的你,望能解答你的疑惑~
如此次答疑能更好地帮助你理解该知识点,烦请【点赞】。你的反馈是我们进步的动力,祝你顺利通过考试~
- 评论(0)
- 追问(2)
- 追问
-
207.49不是折现值,而是去除收益的值,这个公式在PPT图片上的,所以应该哪种是正确?
- 追答
-
同学你好!
1.的确不是折现,前一个回答已修改。
2.本题计算用的是截图所示的公式,和讲义中的公式是等价的。因为ln(e^(-𝛿×𝑇))=-𝛿×𝑇
评论
0/1000
追答
0/1000
+上传图片



