刘同学2021-06-07 14:23:32
老师,原版书32题我的解答过程是这样的,选出来的就是B,不知道为什么错了?
回答(1)
开开2021-06-07 16:43:40
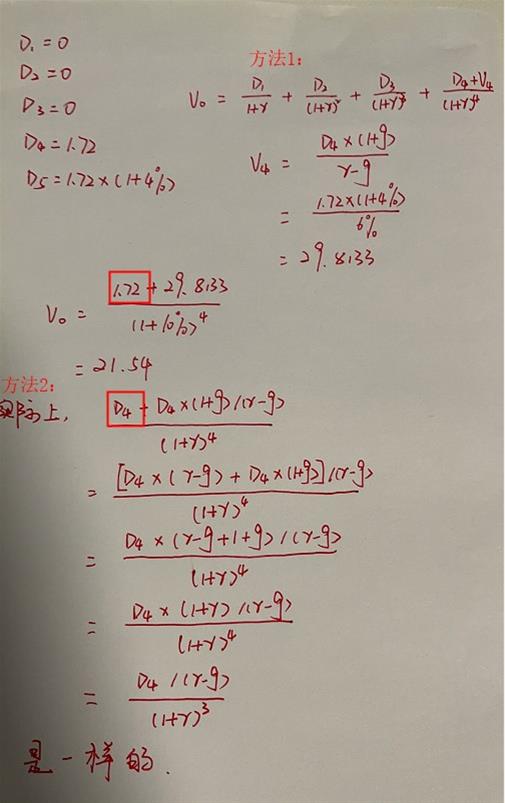
同学你好,你的计算没有包含第四年发的第一笔现金流。在普通的GGM模型中没有加D0是因为在做估值的时间点,D0已经付过了,投资者现在买入的话是拿不到的。而此题中D4是在持有期间发生,因此必须加上。
致正在努力的你,望能解答你的疑惑~
如此次答疑能更好地帮助你理解该知识点,烦请【点赞】。你的反馈是我们进步的动力,祝你顺利通过考试~
- 评论(0)
- 追问(0)
评论
0/1000
追答
0/1000
+上传图片


