周同学2021-05-19 23:26:11
fix的时候我理解,但是floating的时候为什么只有1,因为平时做习题都是1+90点时候的利率由0时点就确定的那个,这里为什么直接就用1在90点时候作为浮动利率,不需要加这个东西?
回答(1)
Kevin2021-05-20 10:32:25
同学你好!
0时点确定了0-1的浮动利率f1,因此1时点的本金加利息是1+f1。
然后考虑折现的问题,比如0.5时点,0.5-1的浮动利率是r1,那么PV浮动=(1+f1)/(1+r1)。然后看0时点,PV浮动=(1+f1)/(1+f1)=1。同理,1时点,2时点,每一个reset day的PV浮动都是1。
回到你的问题:浮动部分现值为1的理由见上。这里的1包含了本金加利息,不需要额外加东西。
致正在努力的你,望能解答你的疑惑~
如此次答疑能更好地帮助你理解该知识点,烦请【点赞】。你的反馈是我们进步的动力,祝你顺利通过考试~
- 评论(0)
- 追问(5)
- 追问
-
就是90天的时点,浮动的时候本金+利息就是1,但是如果是30天的时候,就是(1+90天时候的利息)再折现从90折现到30(我们习题上一样)就是这么理解就行了??
- 追答
-
同学你好!
是的哈。
- 追问
-
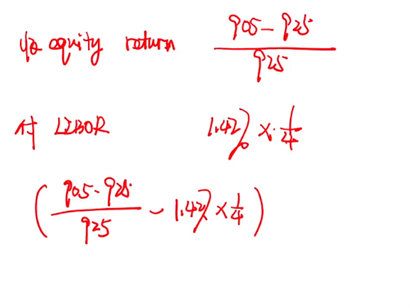
那这道题的最后一问,是用equtiy换90天时候的floating libor interest rate, 为什么这个地方的floating用的是1.42%*4,这里为什么不是1,我理解浮动换固定 和 浮动换股权里的浮动应该是一样的才对?
- 追问
-
就是这里 ,同样是换浮动 为什么上一题是1, 这个是90天时候定的利率(1.42%/4)
- 追答
-
同学你好!
这道题求得是cash flow,不是value。
cash flow是当期交换的现金流,也就是股票的收益和浮动利息,并不包含本金。
value是未来现金流折现,因此包含本金。
评论
0/1000
追答
0/1000
+上传图片


