gslzm2021-05-07 11:03:12
R4第30题这里的variance of predication error应该怎么理解呢?
回答(1)
Kevin2021-05-07 15:44:54
同学你好!
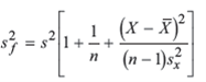
variance of the prediction error是指sf^2,计算公式如图。
致正在努力的你,望能解答你的疑惑~
如此次答疑能更好地帮助你理解该知识点,烦请【点赞】。你的反馈是我们进步的动力,祝你顺利通过考试~
- 评论(0)
- 追问(0)
评论
0/1000
追答
0/1000
+上传图片

