137***142021-05-05 12:27:33
第二题,可以在解释一下a prediction interval for the actual US CPI 的过程吗
回答(1)
Kevin2021-05-06 09:23:51
同学你好!
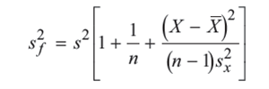
这道题就是代公式,y ± t_c × s_f,其中y ̂根据回归方程求得,y = 0.0001 + 0.9830 × 2.8,t_c查t分布表得到,s_f的计算公式如图。
致正在努力的你,望能解答你的疑惑~
如此次答疑能更好地帮助你理解该知识点,烦请【点赞】。你的反馈是我们进步的动力,祝你顺利通过考试~
- 评论(0)
- 追问(0)
评论
0/1000
追答
0/1000
+上传图片

