time2021-05-02 18:23:51
老师把这个ln怎么去掉的,怎么变形的呢,不懂呢,这是那个公式
回答(1)
Johnny2021-05-03 17:35:40
同学你好,这个就是一阶导数,具体转换过程是不需要掌握的,因为是超纲内容,这里可以直接记结论。考试不靠你推导过程的,只考你结论,也就人均总产出的增长率=技术增长率+a×人均资本增长率
- 评论(0)
- 追问(2)
- 追问
-
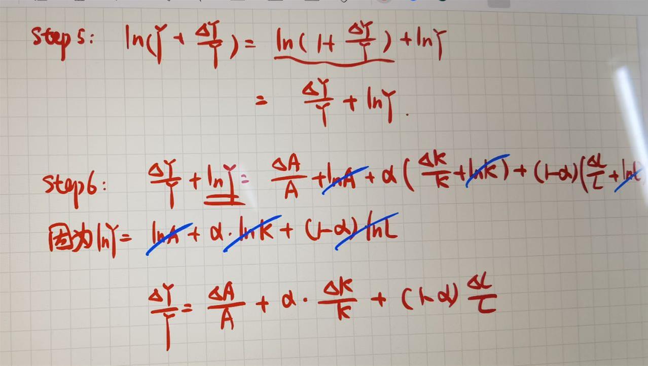
你直接把那个推导过程写一下,因为数学都忘的差不多了,这个因该是大学时学的微积分,请帮我推导一下,不管超纲还是不超纲,我需要知道过程
- 追答
-
同学你好,可以参考下图
评论
0/1000
追答
0/1000
+上传图片



