赵同学2021-05-01 06:50:00
这里面的cov 能用计算器求么?
回答(1)
Kevin2021-05-03 18:57:49
同学你好!
不能直接计算,需要手算。
致正在努力的你,望能解答你的疑惑~
如此次答疑能更好地帮助你理解该知识点,烦请【点赞】。你的反馈是我们进步的动力,祝你顺利通过考试~
- 评论(0)
- 追问(2)
- 追问
-
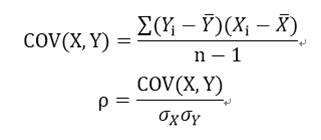
那您能把cov和correlation公式给我写一下么?
- 追答
-
同学你好!
计算公式如图。
评论
0/1000
追答
0/1000
+上传图片


