time2021-04-19 18:30:34
什么是个方差,方差是个什么意思呢
回答(1)
Kevin2021-04-20 09:21:48
同学你好!
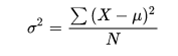
方差衡量的是随机变量或一组数据时离散程度的度量。计算公式如图,这是整体数据的方差,其中N是整体数据的个数,μ是均值,X是整体数据。
致正在努力的你,望能解答你的疑惑~
如此次答疑能更好地帮助你理解该知识点,烦请【点赞】。你的反馈是我们进步的动力,祝你顺利通过考试~
- 评论(0)
- 追问(0)
评论
0/1000
追答
0/1000
+上传图片


