Henry2021-04-17 10:42:17
为什么Information Ratio不受active、passive投资strategy的影响呢
回答(1)
Sherry Xie2021-04-19 17:57:01
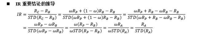
同学你好, infomation ratio不会受到主动权重激进程度的影响(unaffected by the aggressiveness of active weights)。
这个结论是推导出来,推导的过程,请看一下截图。
- 评论(0)
- 追问(0)
评论
0/1000
追答
0/1000
+上传图片

