迷同学2021-04-13 10:12:39
原版书Reading32课后题39,这个riding the yield curve的收益率怎么计算可以讲解一下吗
回答(1)
Sherry Xie2021-04-13 10:38:03
同学你好,
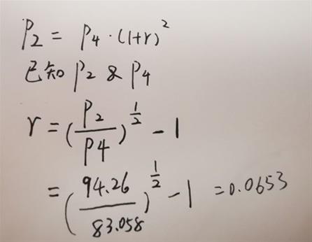
假设一个斜向上的Yield curve,
现在投资者买了一个四年期的零息债券,价格是P4,这时的折现率用的是r4;
2年后, 这个零息债只剩下2年到期,用的折现率是r2, 由于收益率曲线斜向上,所以r2大于r4, 因此P2大于P4;
所以P4低价买入这只四年期的零息债,2年后以高价P2卖出,低买高卖,就会有正收益。
求的就是这个正收益, 解题过程你看下我的手写截图。
希望我的回答对你有帮助噢~考试奥利给~
请为乘风破浪的自己【点赞】,让我们知晓您对答疑服务的支持~
- 评论(0)
- 追问(2)
- 追问
-
P2不是在0时点买2年期的0息债券的价格吗,为什么是2时间点卖出的价格?
- 追答
-
不是的,P2是站在2时间点上,卖出当初买的4年期债券,所以4年期债券在2时间点被卖掉,还有2年才到期。
评论
0/1000
追答
0/1000
+上传图片

