赵同学2021-03-19 20:16:56
第9和12题? 第16题,什么叫均衡PE?
回答(1)
Sherry Xie2021-03-22 11:33:20
第9题: 说的是yield= benchmark interest rate+ Spread, 未来yield是upward sloping的情况下:
A选项,错在must, benchmark 有可能rise, 只要premium上升的多, 整体yield也可以是upward sloping.
B选项,错误原因同A选项。
C选项,未来benchmark和Premium的走向是不确定的,只要其中一个的增长大于另外一个的增长,整体yield就是upward sloping。
第12题:
这里是强调经济危机的时候,很高等级别债券价格下降的原因是什么? 所以看清楚是经济危机的时候,人们更担心债券会违约,就算是高等级债券,也需要更高的回报,才愿意买,所以信用风险补偿上升,价格下降。
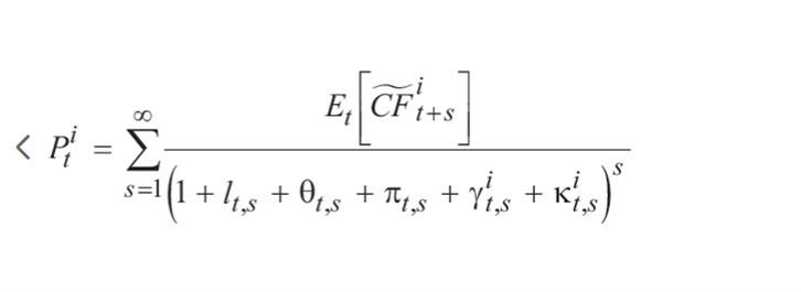
equilibrium PE: 公式见截图。
- 评论(0)
- 追问(0)
评论
0/1000
追答
0/1000
+上传图片




