Apple2021-03-11 20:56:25
R32 课后题39 年化收益的算法不明白
回答(1)
Sherry Xie2021-03-15 09:41:33
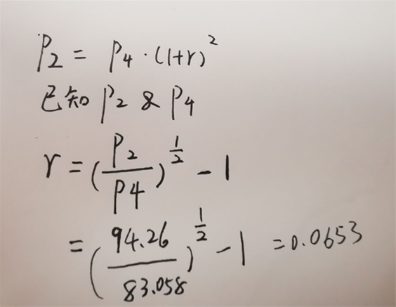
同学你好,请看截图。
问题解决,请记得点赞~
- 评论(0)
- 追问(0)
评论
0/1000
追答
0/1000
+上传图片


