许同学2021-02-27 09:44:40
请问老师,正则化到底该怎么理解?它是惩罚回归的目的吗?它是不是线性非线形都适用
回答(1)
Kevin2021-03-01 09:43:44
同学你好!
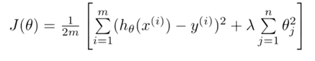
1.正则化的目的是避免过拟合。比如对于图示的损失函数,对于特定的λ,为了使得损失函数最小,部分θ会趋向于0,这样就相当于减少了features,避免了过拟合的可能。
2.目的如上;
3.都适用。
致正在努力的你,望能解答你的疑惑~
如此次答疑能更好地帮助你理解该知识点,烦请【点赞】。你的反馈是我们进步的动力,祝你顺利通过考试~
- 评论(0)
- 追问(0)
评论
0/1000
追答
0/1000
+上传图片

