Fionaaaa2020-08-17 22:45:12
请问在at the money时,为什么只要stock price产生一点变化,就会使value of a call发生很大变化呢?
回答(1)
Kevin2020-08-18 11:19:22
同学你好!
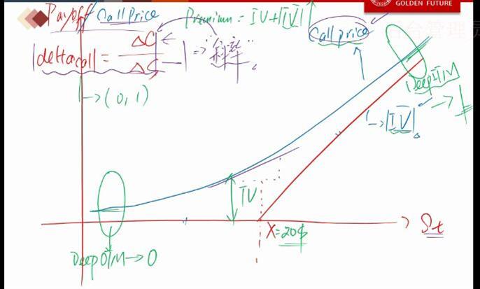
回顾一下图中蓝色的曲线,这是call option的value。我们可以看到在delta趋近于1时,option value变化最快;delta趋近于0时,option value变化最慢,delta接近0.5,option value变化介于两者之间。
如果一定要说delta=0.5时,哪个变化最快,应该是gamma,即为图中曲线的凸度。
注意辨析概念哈
- 评论(0)
- 追问(0)
评论
0/1000
追答
0/1000
+上传图片

