李同学2020-08-16 13:01:13
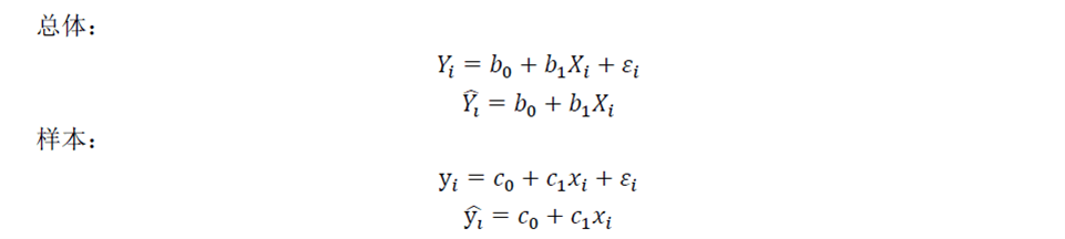
如图:我想问的是 想追求一个一致的公认化的公式表达(不同老师,不同数目中的表达式不一,心里觉得乱),我认真的画了这张图,分别是群体和样本,带误差和不带误差四种情况。每一个字母(希腊还是英文),有cap还是没有cap,都写清楚了,请问还有没有问题,明确的表达式是不是这个样子?
回答(1)
Kevin2020-08-17 16:23:21
同学你好!
1.b0和b1我们通常是通过最小二乘法得到,也就是实际是b0 cap和 b1 cap,但是我们通常都简写成b0和b1,不必写成b0 cap和 b1 cap。
2.ε是希腊字母,大写是Ε。不过,我建议残差项和回归系数还是用小写,如ε,b0和b1。没必要大写。
3.最好都加上一个下标i,这样表示每一组对应的数据点。当然不标下标i也可以。
如下图所示(由于样本的数据性质可能和总体不一样,回归系数改成了c0和c1)
- 评论(0)
- 追问(2)
- 追问
-
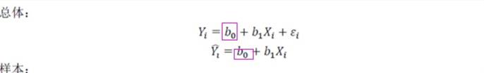
需要明确的一点:紫色框内,Y对应的系数,和Y cap对应的系数是 一模一样的?即都是bo,不是一个对应bo,一个对应bo cap?
- 追答
-
同学你好!
是一样的。实际上这两个函数关系都是通过OLS得到b0 cap和 b1 cap,只不过我们不会这样写,而是直接写成b0和b1。
上面的Yi是真实的点,下面的Yi cap是回归方程预测的点,两者只是差了一个ε,但都是用b0和b1以及自变量X表示的。
评论
0/1000
追答
0/1000
+上传图片



