杜卓2020-07-23 22:16:45
老师Sf和SEE是相等的吗
回答(1)
Kevin2020-07-24 10:22:49
同学你好!
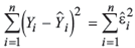
SSE是sum of squared errors or residuals,计算公式如下图一。它是一个平方和的概念,不是方差。
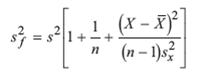
variance of the prediction error,是方差的概念,即sf^2。注意记忆它们之间的区别。
其中,s^2 为squared standard error of estimate,即SEE^2。
- 评论(0)
- 追问(0)
评论
0/1000
追答
0/1000
+上传图片



