SusieW2020-07-11 12:11:34
variance of the prediction error不是应该是sse吗?为什么代表sf平方
回答(1)
Kevin2020-07-13 09:15:38
同学你好!
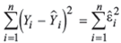
SSE是sum of squared errors or residuals,计算公式如下。它是一个平方和的概念,不是方差。
variance of the prediction error,是方差的概念,即sf^2。注意记忆它们之间的区别。
- 评论(0)
- 追问(2)
- 追问
-
好的,请问variance of error的公式能给一个吗?谢谢
- 追答
-
同学你好!
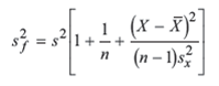
variance of the prediction error的计算公式如下。其中,s^2 为squared standard error of estimate,即SEE。
这个公式了解即可,不是考试的重点。
评论
0/1000
追答
0/1000
+上传图片



