SusieW2020-07-10 00:53:16
课后题第17题,如果我用算correlation的公式算,就是用cov除以x和y标准差之积,算出来结果和正确答案不一致,请问我的计算公式是否有误
回答(1)
Kevin2020-07-10 09:40:34
同学你好!
你的σx和σy不对。
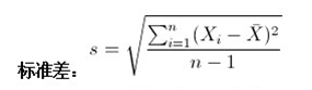
你是用的平方和,并不是方差。总体方差需要除以n,样本方差需要除以n-1。
- 评论(0)
- 追问(2)
- 追问
-
我有除以n-1,就是49啊,但是算出来不对
- 追答
-
同学你好!
你用的σx和σy不对,不是协方差不对。注意回顾一下标准差的定义。
评论
0/1000
追答
0/1000
+上传图片



