圆同学2020-06-17 13:17:08
能否举一个非常具体明确的例子来说明什么是同方差?这成了唯一的障碍
回答(1)
Kevin2020-06-17 14:59:17
同学你好!
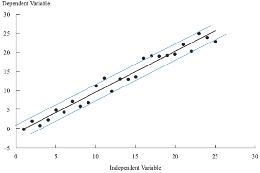
同方差就是残差项方差恒定。这里仍以原版书为例,我们看到残差的波动幅度一直维持在蓝线附近,这样就是同方差。
如果后续有很多数据点都超出了蓝线,那么就是有异方差问题。(注意:单一两个超出不一定说明问题,可能是outlier)
- 评论(0)
- 追问(2)
- 追问
-
老师最棒
- 追答
-
谢谢!同学你也继续加油哈~
评论
0/1000
追答
0/1000
+上传图片

