圆同学2020-06-17 12:35:47
本页讲了:条件异方差影响的是回归系数的标准误。 而前边42页列举的三项中前两项是残差项的事情,第3项奖系数之间的关系。 而实际本页讲的内容与残差项没有关系啊。条件异方差与残差项有个什么关系呢??
回答(1)
Kevin2020-06-17 15:11:39
同学你好!
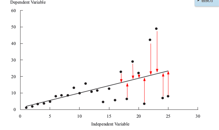
条件异方差是指残差的方差不恒定。如图所示,前面数据的残差很小,那么方差也小;后面数据的残差很大(如红色箭头展示的),方差也大。因此条件异方差讲的就是残差方差不恒定这个问题。
- 评论(0)
- 追问(2)
- 追问
-
回归系数的标准误是怎么算出来的呀??难不成,同一回归系数,算出来了很多数字,取平均,再取个方差,标准差,得来他的标准误??是怎么来的呢??
- 追答
-
同学你好!
就是你说的这个流程,是通过软件直接得到的。
评论
0/1000
追答
0/1000
+上传图片


