圆同学2020-06-17 12:35:45
本页讲了:条件异方差影响的是回归系数的标准误。 而前边42页列举的三项中前两项是残差项的事情,第3项奖系数之间的关系。 而实际本页讲的内容与残差项没有关系啊。条件异方差与残差项有个什么关系呢??
回答(1)
Kevin2020-06-17 15:12:54
同学你好!
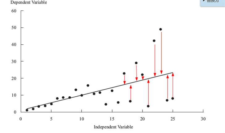
条件异方差是指残差的方差不恒定。如图所示,前面数据的残差很小,那么方差也小;后面数据的残差很大(如红色箭头展示的),方差也大。因此条件异方差讲的就是残差方差不恒定这个问题。
- 评论(0)
- 追问(0)
评论
0/1000
追答
0/1000
+上传图片


