13****622020-03-02 22:53:52
想要 方差 协方差 标准差 相关系数的公式,照片那种,傻瓜都能看明白的那种。
回答(1)
Johnny2020-03-04 10:07:52
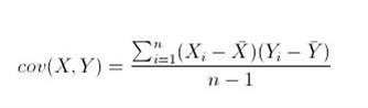
同学你好,附图显示的是协方差以及标准差和方差的公式,您可以看一下是否能够理解,如果对这些公式有疑问的话可以来问我。标准差的话考试一般是用样本标准差,然后相关系数只要用协方差除以X与Y的标准差的乘积即可。
- 评论(2)
- 追问(0)
评论
0/1000
追答
0/1000
+上传图片



