王同学2019-04-15 19:27:25
请问老师,在active management中使用forward 来获利,为什么只有spot curve upward sloping 才有可能s'<f?
回答(1)
Sherry Xie2019-04-16 11:09:40
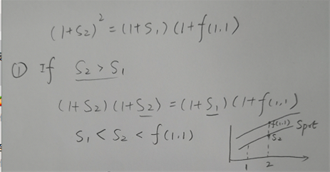
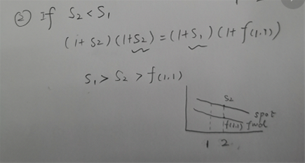
同学你好,看图。看第一种情况,是upward yield curve的情况,所以s2大于s1,如果想让等式成立,f肯定要大于s2, 因此整个fwd yield curve在spot yield cuve之上; 再看一下第二种情况,是downward yield curve, 所以s2小于s1, 如果想让等式成立,f需要小于s2, 因此整个fwd yield curve再spot yield curve 之下。
- 评论(0)
- 追问(0)
评论
0/1000
追答
0/1000
+上传图片



