陈同学2019-03-27 18:54:50
你好,关于ADJUST R2和R2(平方)比较,我看了原来公式和变形公式,都去除以各自的自由度 但是结果却是相反,麻烦指正?
回答(1)
Chris Lan2019-03-28 09:43:14
同学你好,
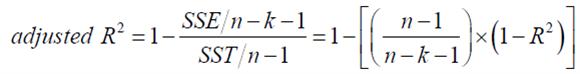
adjusted R^2,并没有你左边写的这种公式的写法,所以是错的。正确的我已经写在下面给你了。
- 评论(0)
- 追问(0)
评论
0/1000
追答
0/1000
+上传图片


