Angie2024-08-14 16:34:35
第25题和26题不懂,麻烦老师详细讲解一下。
回答(1)
爱吃草莓的葡萄2024-08-21 11:00:50
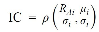
同学你好。第25题问的是哪个基金经理预测能力更好,也就是看哪个基金经理IC系数最高,因此你需要计算出三个基金经理的IC系数,IC的计算公式如下,根据这个公式计算出三个基金经理的IC系数即可判断。
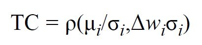
第26题问的是哪位经理最善于构建投资组合,以充分利用其正确预测收益的能力,问的是哪个基金经理将预测结果转换为现实的能力最高,即TC转换系数最高,因此需要计算出三个基金经理的转换系数即可判断,TC的计算公式如下。
- 评论(0)
- 追问(1)
- 追问
-
考试时这个公式会考吗
评论
0/1000
追答
0/1000
+上传图片



