192****44722024-07-18 10:39:42
这里的N(d1)和N(d2)定义是什么?视频没讲清楚
回答(1)
Emma2024-07-22 14:39:08
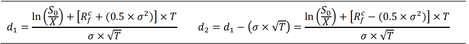
同学,你好,d1 和d2 本身都是比较复杂的公式,详见附件,不需要掌握计算,N()就是一个累计概率函数,这里乘N(d1),N(d2)是为了做概率调整,不需要深度挖掘,记住公式就行。
祝顺利通过考试~
- 评论(0)
- 追问(0)
评论
0/1000
追答
0/1000
+上传图片


