
-
CFA一级
包含CFA一级传统在线课程、通关课程及试题相关提问答疑;
专场人数:6068提问数量:109338
1. 从PP&E转成投资性房地产,用revaluation model,只有reverse时侯(不超过原cost)的gain才进I/S,超过的进OCI 2. 从存货转成投资性房地产,只要fair value和carrying amount不符,G/L就要进I/S 3. 投资性房地产转成存货/PP&E,【怎么处理?】 老师,帮我看看1.2对不对,及3怎么处理。谢谢
查看试题 已回答精品问答
- 为什么半年付息 算ytm是乘以2 而年化的麦考利久期是除以2
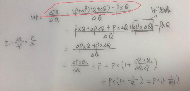
- 为什么长期垄断竞争中 D和ATC相切
- m上升 EAR为什么上升 以及为什么又不变
- 为什么TC 的切点对应是AVC的最低点?
- 前面在讲Aggregate demand curve的时候说,价格上涨使消费下降,而这里又说价格下降消费变少,为什么存在矛盾?
- 为什么可以把TR TC同时体现在纵轴?
- 对于老师讲的这部分,1. 我理解FRA的Payoff始终等于利率期货的Payoff部分进行折现(除以1个大于1的数),也就是说,FRA的Payoff的变动幅度 应该 始终小于利率期货的变动幅度。2. 至于是涨多跌少,还是涨少跌多,其实MRR在分母上,可以根据1/x的曲线特点来理解,无非就是MRR上升时1/(1+MRR)的变动幅度 小于 MRR下降时1/(1+MRR)的变动幅度,所以如果MRR上升时,Payoff是上升的,那么就是涨少跌多,如果MRR上升时,Payoff是下降的,那就是涨多跌少。以上2点,我理解的对吗?
- 为什么B选项要考虑借股还股?而A选项没有考虑借钱买然后还钱?可以都不考虑吗?还是借股还股一定要在这个流程中体现?








