天堂之歌

听歌而来,送我踏青云〜

CFA一级

CFA一级

包含CFA一级传统在线课程、通关课程及试题相关提问答疑;

专场人数:6064提问数量:109288

一类错误跟二类错误加起来的结果能够等于1吗

已回答

power of test代表的是那部分呢区域呢,跟a一样吗

已回答

这题为什么c不对

已回答

B选项是否可以理解为暂停工资税后,政府税收降低,为扩张性财政政策?

查看试题 已回答

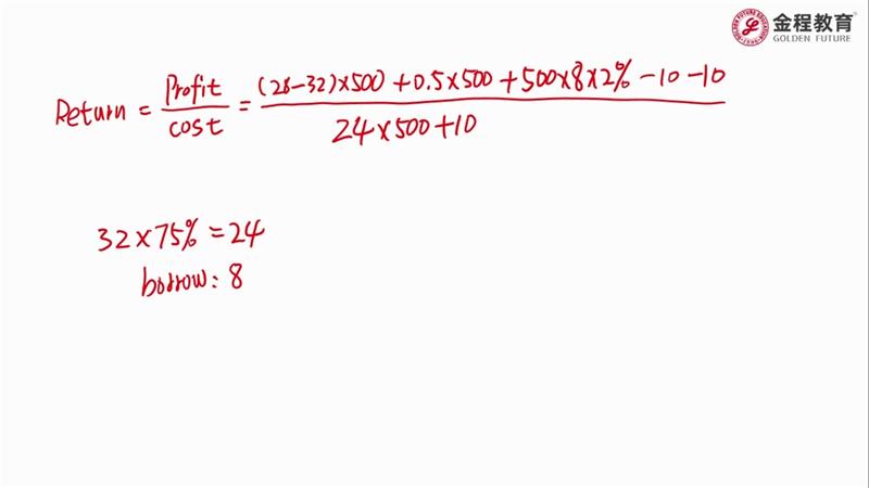
老师 这题佣金在分子扣了两遍10元,为什么分母有扣10元,那不是扣了3次吗?不是买卖各一次吗

已回答

是不是写错了,怎么会是x>12

已回答

老师您好 百题49 关于用spot rate 和 forward rate计算PV 请问老师 不论是用spot rate 还是forward rate calculate PV的时候 spot rate和forward rate调整与否是要看period期限对吗?如果是period是按照1年 spot rate&forward rate都不需调整 如果是按照0.5半年的rate 在计算PV是就需要相应地做出调整 比如半年的/2 季度的/4

已回答

老师, 请问下都stop-buy 50了为什么还会让short seller等到股票继续涨到55?不应该50时候直接就买回来了吗?不然这个stop毫无意义啊

查看试题 已回答

40题 为什么euqity return 用b项描述

已回答

quantitative 9:老师,这道题,A和B错哪了

已回答

精品推荐

400-700-9596
(每日9:00-21:00免长途费 )

©2025金程网校保留所有权利

X

注册金程网校

验证码

同意金程的《用户协议》
直接登录:

已有账号登录