你还未登录〜
听歌而来,送我踏青云〜
0元
充值
0橙宝
考研问答包含网校听课、疑难解答、教学服务等,每个问题老师均会在24小时内给出答疑回复哦!
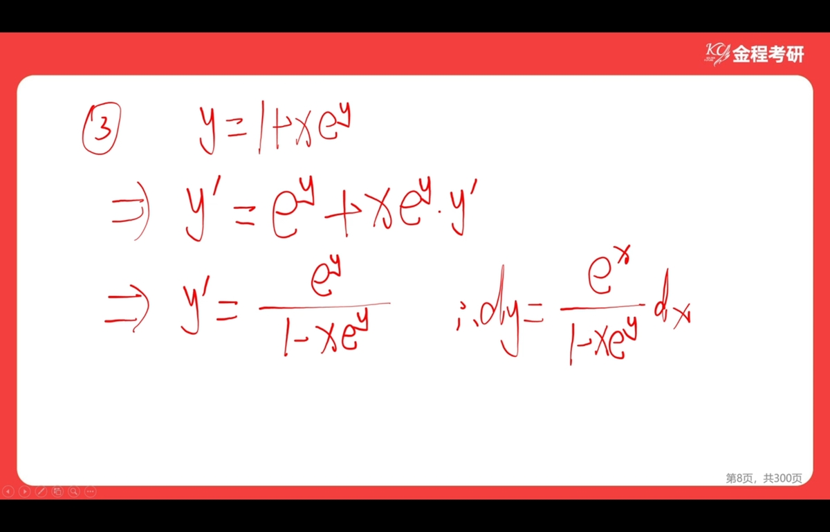
dy值的分子是不是写错了?
讲二阶反函数时导数的表达式为什么和讲一阶反函数导数时的表达式不一样(一个是y为自变量,一个是x为自变量)
17题中的3选项,如何去用狄利克雷判别法去判断敛散性呢
AB为啥等于A
这个为啥x2等于1和0,然后后面是怎么推出来的
这个是怎么求的没看懂
f(x)为啥大于0
有点没看懂怎么换元的
A12确定是-18?不是2✖️6?
P的逆矩阵怎么看出来的
登录金程网校
用户名或密码不匹配,请重新输入
两周内免登录
注册金程账号
注册金程网校
已有账号登录