天堂之歌

听歌而来,送我踏青云〜

396经综

396经综

考研问答包含网校听课、疑难解答、教学服务等,每个问题老师均会在24小时内给出答疑回复哦!

专场人数:14提问数量:36

17题中的3选项,如何去用狄利克雷判别法去判断敛散性呢

已回答

AB为啥等于A

已回答

这个为啥x2等于1和0,然后后面是怎么推出来的

已回答

这个是怎么求的没看懂

已回答

f(x)为啥大于0

已回答

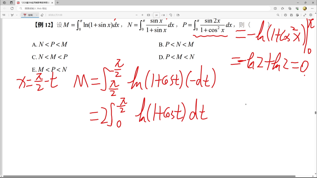
有点没看懂怎么换元的

已回答

A12确定是-18?不是2✖️6?

已回答

P的逆矩阵怎么看出来的

已回答

D1为啥是2a

已回答

这个变换有点没看懂

已回答

精品问答

精品推荐

400-700-9596
(每日9:00-21:00免长途费 )

©2026金程网校保留所有权利

X

注册金程网校

验证码

同意金程的《用户协议》
直接登录:

已有账号登录