天堂之歌

听歌而来,送我踏青云〜

数学

数学

考研问答包含网校听课、疑难解答、教学服务等,每个问题老师均会在24小时内给出答疑回复哦!

专场人数:94提问数量:343

还有老师我有个问题就是微分方程的通解是不是不用必须化成y=……这种等式啊?因为这几题我看老师做下来也是有的化简成y=……有的只化简成带y的函数表达,但我最开始做的时候是全部最终给化简成了y=……的式子,所以我有些题比老师做的多了好多繁琐且复杂的步骤,还不一定是对的,如果不用必须化成y=……的话,还可以节省点时间和保证正确率。

已解决

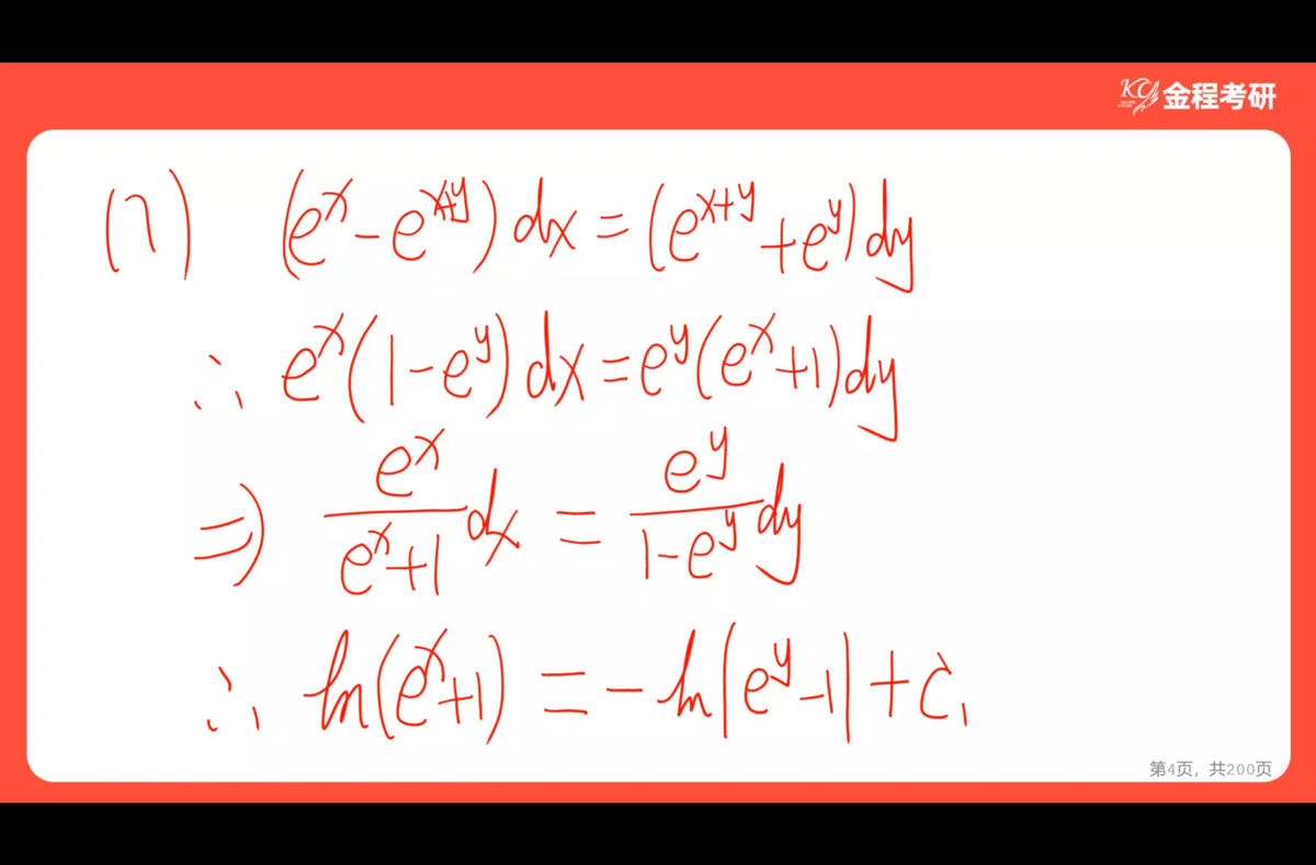
老师这个最后一步我有点疑问,1-e^y分之一的原函数不是负的In|1-e^y|吗?如果变成In|e^y-1|不就刚好把负号抵消了吗?为什么前面还有个负号啊?

已解决

老师,我用绿色圈出来的式子我没看懂是怎么来的,视频中老师说上面两个式子左边和右边相等,但它们的分子不是不一样吗(我用绿色圈出的)?为什么相等啊?求解答。

已解决

老师,这个第21题的答案为什么不是324分之兀的3次方?6分之兀的3次方不应该是216分之兀的3次方吗?然后再乘3分之2等于324分之兀的3次方。

已解决

老师 这个F2是Fx在2处展开 ,X0为什么能取1,取多少应该没限制吧 只是取1方便计算了

已解决

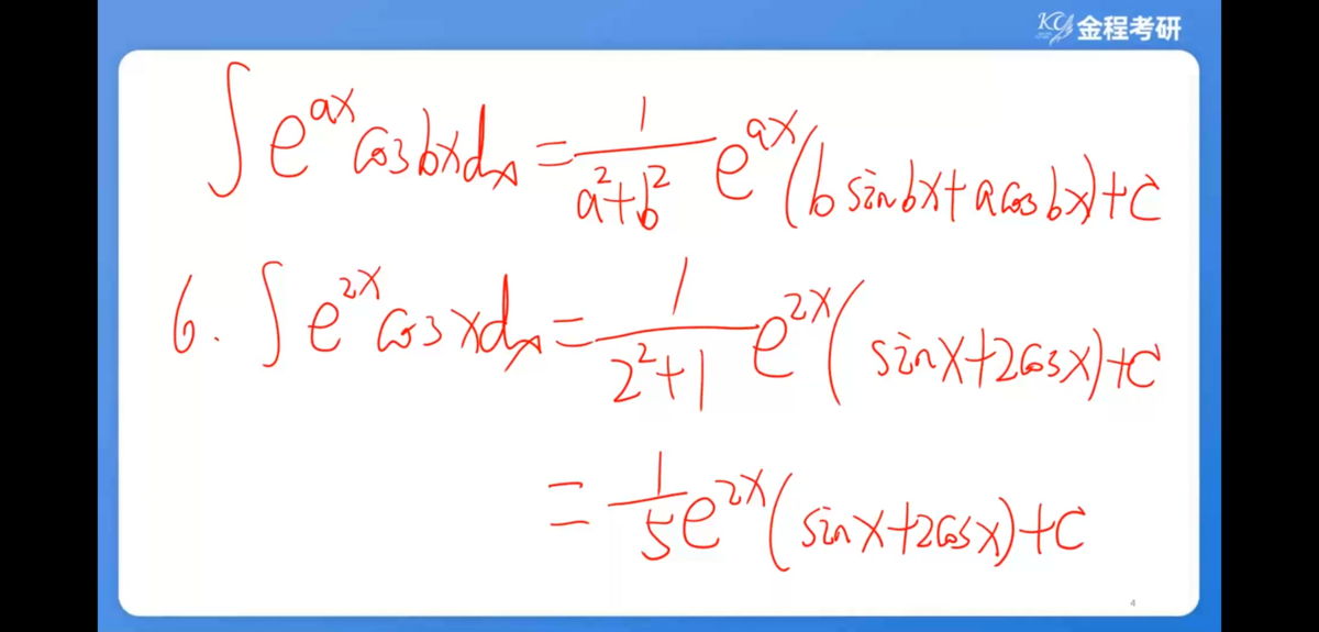
老师,这个第6题,我按分步积分来做为什么和用积分表算的答案不一样呢?我检查了一遍算下来发现还是不对,还请老师帮我看看哪错了,谢谢。

已解决

老师,这个第4题我想问一下为什么我用换元法做出来的答案与老师的答案有些不同,感觉是相反的啊?我检查感觉过程也是对的,还请老师帮我看一下哪里有误,谢谢。

已解决

老师,这个第22题,您帮我看一下我用红笔画的这个地方我把cos2x变回成1-sinx方的这个方法可以吗?如果可以的话,但是他最后的答案与老师的不一样,我想问一下错在哪里?

已解决

后面的积分区域为啥是0到二分之π了?前面不是都在0到π

已解决

老师,我想问一下这里是怎么一下就得出f(x)是在[0,1]上连续的?我就是不太懂是怎么确定区间就是[0,1]而不是别的范围。

已解决
1/30 页
首页上一页123456尾页

精品问答

精品推荐

400-700-9596
(每日9:00-21:00免长途费 )

©2026金程网校保留所有权利

X

注册金程网校

验证码

同意金程的《用户协议》
直接登录:

已有账号登录