温同学2024-04-14 16:19:39
二项分布计算器怎么按,具体的,请举例
回答(1)
黄石2024-04-18 13:48:53
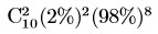
同学你好。以下图为例。[10] -> [2nd] -> [+] -> [2] -> [=] -> [✖] -> [0.02] -> [x^2] -> [✖] -> [0.98] -> [y^x] -> [8] -> [=]。
- 评论(0)
- 追问(3)
- 追问
-
正确答案是什么呢?想验证一下自己有没有对。
- 追问
-
9.375%吗?
- 追答
-
同学你好。应该等于0.0153哈。
评论
0/1000
追答
0/1000
+上传图片


