李同学2024-04-14 13:57:55
这里V(Yt)的推导过程能放一下吗,Cov(Yt-1,εt-1)是=σ^2吗,为什么?
回答(1)
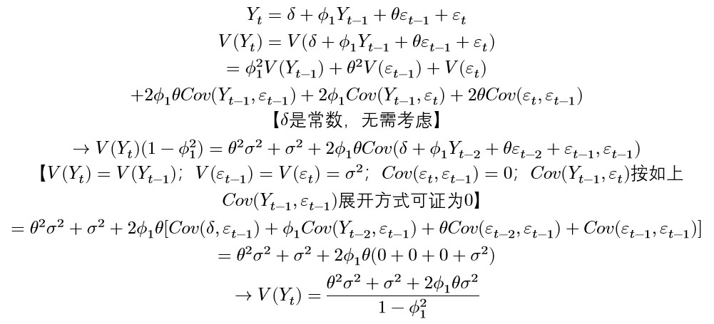
黄石2024-04-16 13:33:02
同学你好。这个不需要掌握,见下图。Cov(Yt-1, et-1) = sigma^2,可以把Yt-1的ARMA表达式代进去然后再用cov的运算法则展开来证明。
- 评论(0)
- 追问(0)
评论
0/1000
追答
0/1000
+上传图片


