回答(1)
最佳
黄石2024-04-11 09:52:40
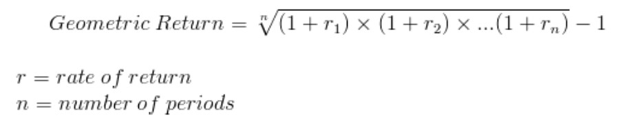
同学你好。几何平均收益率定义式如下。
- 评论(0)
- 追问(0)
评论
0/1000
追答
0/1000
+上传图片

