木同学2024-04-05 16:14:51
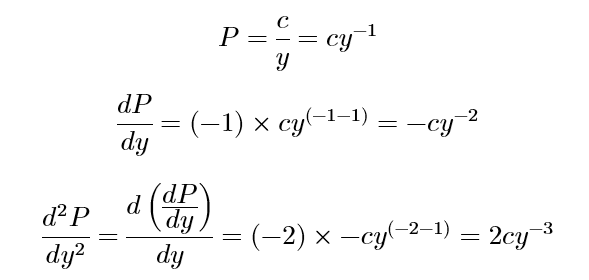
有三个问题:第一,P=C/Y,这个一阶求导、二阶求导过程能写详细点吗?已经忘记这块数学知识了。第二,解析视频PPT里最下面为啥MD=P的一阶导数/(C/Y),嵌套有点多,看不懂。第三,最后得出的结论MD=1/y,适用于任何永续债券吗?
查看试题回答(1)
黄石2024-04-08 17:50:41
同学你好。
问题1见下图。
问题2:MD = (dP/P)/dy = (dP/dy)/P,其中dP/dy是债券价格对收益率求一阶导,P是债券价格,由于这里是永续债,故P = c/y。
问题3:该公式适用于所有永续债。
- 评论(0)
- 追问(0)
评论
0/1000
追答
0/1000
+上传图片

