FRM斗战圣罗2024-04-04 15:01:34
老师您好,2.73是怎么算出来的呢
回答(1)
黄石2024-04-07 17:19:13
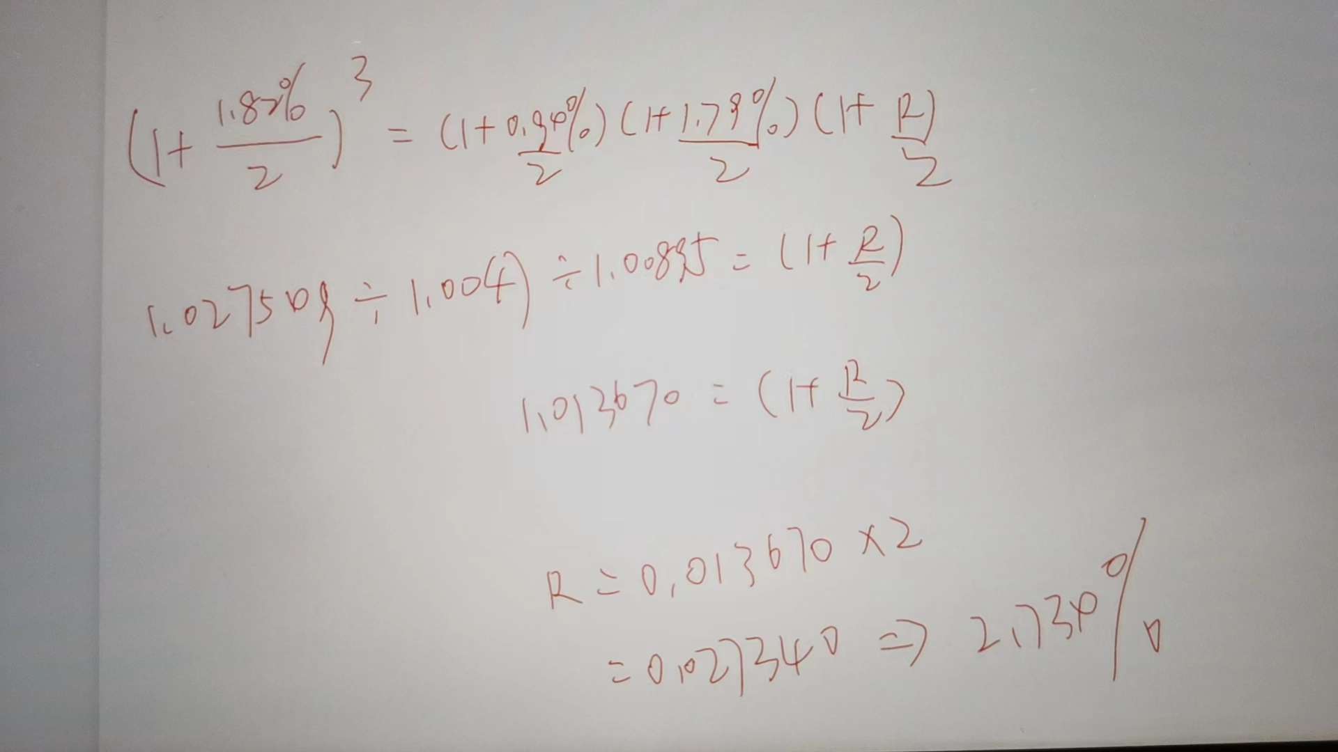
同学你好。根据公式:(1 + 1.37%/2)^2*(1 + f_1,1.5/2) = (1 + 1.82%/2)^3,反推即可得到对应的forward rate。
- 评论(0)
- 追问(2)
- 追问
-
老师这样算可以吗
- 追答
-
同学你好。也可以的哈,这些公式本质上都一样的。
评论
0/1000
追答
0/1000
+上传图片



