回答(1)
最佳
黄石2024-03-26 15:27:05
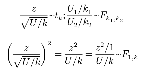
同学你好。正确的,一元情况下F检验等价于t检验,F-statistic = (t-statistic)^2。这个背后是t和F的统计学关系,见下图(其中z是标准正态变量,U为自由度=k的卡方变量),记住结论即可,不必深究。
- 评论(0)
- 追问(0)
评论
0/1000
追答
0/1000
+上传图片

