郭同学2024-03-19 20:41:41
为什么有102和九十几?
回答(1)
黄石2024-03-20 17:57:14
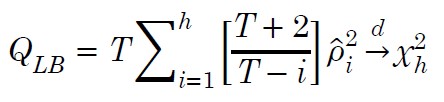
同学你好。注意Ljung-Box Q-statistic的公式(见下图)。对于一阶滞后,i = 1,(T + 2)/(T - i) = (100 + 2)/(100 - 1) = 102/99(T为样本容量);对于二阶滞后,i = 2,(T + 2)/(T - i) = (100 + 2)/(100 - 2) = 102/98;以此类推。
- 评论(0)
- 追问(0)
评论
0/1000
追答
0/1000
+上传图片


