天堂之歌

听歌而来,送我踏青云〜

您现在的坐在位置:首页>智汇问答>FRM一级

134****45182024-03-01 18:01:56

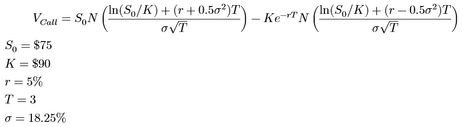
这道题是否可以使用BSM模型计算,请也讲解一下BSM模型的计算过程。

查看试题

回答(1)

黄石2024-03-05 13:36:08

同学你好。可以,将题目信息代入BSM公式即可。二叉树本就是BSM的简易教学模型,随着阶数趋向于无穷,二叉树模型的结果趋向于BSM模型的结果。

  • 评论(0
  • 追问(0
评论

精品推荐

评论

0/1000

追答

0/1000

+上传图片

    400-700-9596
    (每日9:00-21:00免长途费 )

    ©2026金程网校保留所有权利

    X

    注册金程网校

    验证码

    同意金程的《用户协议》
    直接登录:

    已有账号登录