天堂之歌

听歌而来,送我踏青云〜

您现在的坐在位置:首页>智汇问答>FRM一级

187****02062024-02-28 12:50:23

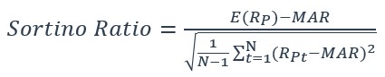
为什么2.5需要开根号?

查看试题

回答(1)

黄石2024-02-29 15:13:05

同学你好。注意这里是mean “SQUARED” deviation from the minimum return,也就是Sortino ratio分母这一项根号里面的这部分,所以还需要再开根。

  • 评论(0
  • 追问(0
评论

精品推荐

评论

0/1000

追答

0/1000

+上传图片

    400-700-9596
    (每日9:00-21:00免长途费 )

    ©2026金程网校保留所有权利

    X

    注册金程网校

    验证码

    同意金程的《用户协议》
    直接登录:

    已有账号登录