134****45182024-02-13 10:35:08
股票价格取对数为什么就变成股票收益率了???
回答(1)
黄石2024-02-15 11:47:06
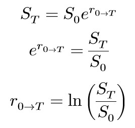
同学你好。这里写得有些简化了。ST作为一个随机变量服从对数正态分布,那么ln(ST)就服从正态分布。0 - T时间段的连续复利收益率 = ln(ST/S0) = ln(ST) - ln(S0),由于S0当前是已知的,是一个常数,所以ln(ST) - ln(S0)也服从正态分布。
- 评论(0)
- 追问(2)
- 追问
-
ln(ST/S0)为什么是0到T的连续复利收益率呢?这个点没看懂?
- 追答
-
同学你好。详见下图。
评论
0/1000
追答
0/1000
+上传图片


