天堂之歌

听歌而来,送我踏青云〜

您现在的坐在位置:首页>智汇问答>FRM一级

封同学2024-02-04 12:46:42

请问用荧光笔描的式子是怎么计算出来的

回答(1)

黄石2024-02-04 14:40:17

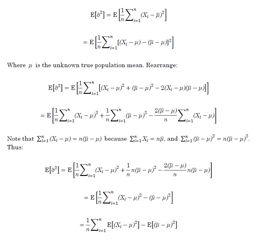
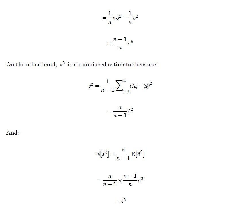
同学你好。详见下图。这个推导FRM是不要求掌握的,不用担心。

  • 评论(0
  • 追问(0
评论

精品推荐

评论

0/1000

追答

0/1000

+上传图片

    400-700-9596
    (每日9:00-21:00免长途费 )

    ©2026金程网校保留所有权利

    X

    注册金程网校

    验证码

    同意金程的《用户协议》
    直接登录:

    已有账号登录