187****02062024-02-01 13:25:57
如何推导得出h
回答(1)
黄石2024-02-02 09:26:42
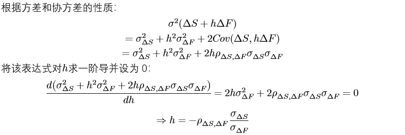
同学你好。见下图。这里有一个小漏洞,因为原先授课老师是直接假设h份的期货头寸,未对多空头寸作出设定,所以h应当为负,意味着期货空头(反映对于现货多头的对冲,需采用期货空头)。而原版书这里是直接假设做空h份的期货头寸,此时最开始的公式应为delta(S) - h*delta(F)。所以最后算出来的h为正直接意味着做空h份期货。
- 评论(0)
- 追问(0)
评论
0/1000
追答
0/1000
+上传图片


