187****02062024-01-18 23:03:28
标准误如何计算?
回答(1)
黄石2024-01-19 09:23:32
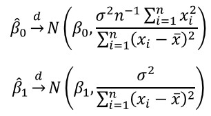
同学你好。同学问的是OLS估计量的标准误是吗?这个的推导与公式都不要求掌握,见下图,正态分布括号中的方差开根号就是标准误。
- 评论(0)
- 追问(0)
评论
0/1000
追答
0/1000
+上传图片

