天堂之歌

听歌而来,送我踏青云〜

您现在的坐在位置:首页>智汇问答>FRM一级

Carla2024-01-13 01:01:57

老师,RLMD,t=α+βRS&P,t+εt, 等式中最后的εt.不是也是未知的吗?α和εt.都是未知的,为什么计算的时候可以忽略εt.?

查看试题

回答(1)

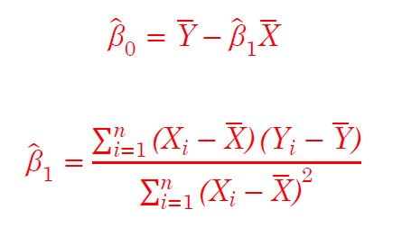
黄石2024-01-15 09:41:25

同学你好。这个是经OLS推导后得到的参数估计量表达式。同学记忆公式即可,不需掌握推导。公式见图1,推导见图2图3。

  • 评论(0
  • 追问(0
评论

精品推荐

评论

0/1000

追答

0/1000

+上传图片

    400-700-9596
    (每日9:00-21:00免长途费 )

    ©2026金程网校保留所有权利

    X

    注册金程网校

    验证码

    同意金程的《用户协议》
    直接登录:

    已有账号登录