134****45182023-12-21 17:21:44
1.利率互换不交换本金,为什么计算要涉及本金! 2.支固定的时候为什么要用2%的连续复利折现? 3.为什么不能按照上课讲的方法(或者说上课的方法为什么不适用解这个题),把收支的现金流分别折现到0时刻来计算?(收支都是三笔现金流) 4.这里的解题方法据说是超纲的,但是我看说超纲的都是2021年前后的提问和回答了,那现在还超纲吗?如果不超纲,为什么课上不讲,如果超纲,为什么题库不做调整,已经懒到2年都不愿意去调整一下不合适的题目吗?!! 5.请把题目解题的方法详细说明一下,另外需要补充什么时候用这种方法的判断!!
查看试题回答(1)
Adam2023-12-22 14:00:01
同学你好,
1:这种方法是:人为的在互换期末加上两笔本金,“一收一支”,实际上没有本金的发生,但是这种方法可以将利率互换的现金流拆解成两个债券【固定债券,浮动债券】,理解起来更直观。
两个债券价值减一减就得到利率互换价值。
2:因为题目给了市场利率为2%,连续复利。所以直接用2%的连续复利进行折现。如果实用半年复利,则需要将2%进行转换,然后才能用其进行折现。
3:课上讲了两种方法,一种是互换组合方法。这种方法是:原互换,加上新的互换构成组合,用组合的现金流去确定其价值。这题只给了一个利率互换,所以不适用。
第二种方法是:互换的每一期现金流,以远期利率进行折现,求和得到利率互换价值。
这种方法和债券组合法是通用的。可以用来确定利率互换价值。
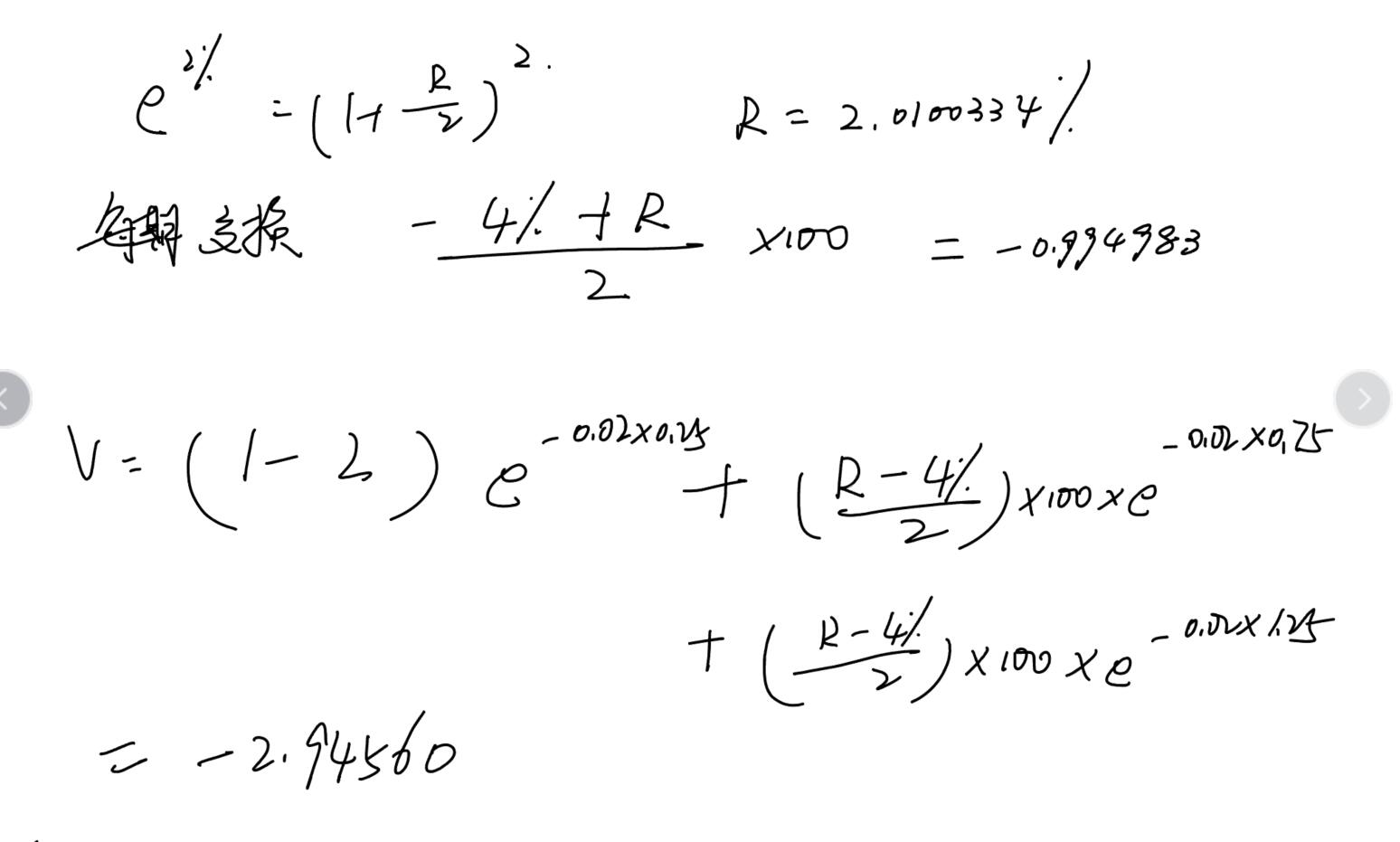
具体如图1【0.25时刻是:4%与2%交换,0.75和1.25是4%与半年复利下的R进行交换,因为利率是水平的,所以浮动利率的远期利率也是2%】。
4:债券组合法确定利率互换价值,是目前金融市场常用的计算方法,无论在国内、国外、CFA等基本都用这种方法,所以并没有失效。
但是GARP作为金融衍生品市场中探索者,会结合一些著名学者的研究,更新衍生品定价方法,所以有了这里的利率互换的“互换组合法”。近几年考纲都不再考察债券法,所以可以了将其理解为超纲。
作为应试,要掌握考纲内容。
但是作为目前、即将参与金融市场中大哥工作者,传统的债券法还得用,所以这也是为什么我们反复强调大家要稍微了解一下。
同时,利率互换中,固定利率的确定,就是实用债券法确定的,即找一个利率使得固定债券价值=浮动债券价值,这个利率就是利率互换中的固定利率。所以这也要求我们要了解这种方法。
5,这题信息其实很简单,利率互换还剩15个月,每半年交换一次,所以每次现金流的时间点分别是0.25、0.75、1.25。固定利率是4%(半年复利),浮动利率是L,
这里的L,利率是水平的,恒为2%(连续复利)。
债券法,就是人为的加上本金,将现金流拆解程固定债券、浮动债券。
两个债券价值相减得到互换价值。
这种方法稍微了解即可。
- 评论(0)
- 追问(0)
评论
0/1000
追答
0/1000
+上传图片

